一种基于接收信号相位差PDOA的室内定位算法原理介绍
发布日期:2020-07-15 浏览次数:10781次
PDOA,英文全称是Phase-Difference-of-Arrival,常规叫法是信号到达相位差PDOA测距算法,或者说接收信号相位差PDOA定位算法,也是一种室内定位算法,通过测量相位差求出信号往返的传播时间来计算往返距离。这种定位算法不是很常见,多用于一些特殊的室内定位场景,比如用在室内无人机的定位、行李箱的自动跟随follow me等。
PDOA定位算法的原理如下:
UWB基站上放置两个相同且间隔d<λ/2的天线,UWB标签上的信号到达两个天线的相位差就在-180°到180°范围内。利用测得的相位差换算成距离差(P),利用飞行时间得到距离r,最后得到坐标值。
PDOA定位算法图示:
算法公式:

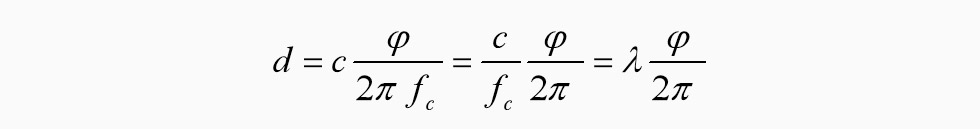
补充:PDOA定位也有另外一种算法计算公式,如下图所示。不过这种计算公式不是很常见,用的也少,这里列出来仅作为参考。

fc :信号频率
λ :信号波长
φ: 发射信号和反射信号的相位差
d的范围是[0, λ]。距离相差λ倍,则测量获得的相位相同。
可用于PDOA测距定位的UWB模块推荐:
基于DW1000方案,95power推出了两款可用于PDOA定位的UWB模块如下:

做PDOA定位的UWB模块SKU611(集成两路DW1000和一个nRF52840蓝牙IC)

做PDOA定位的UWB模块SKU610
深圳市微能信息科技有限公司已推出PDOA定位套件,方便用户做智能跟随应用、角度识别等应用。更多信息可点击:PDOA定位演示套件VDU4503

