PDOA定位演示套件VDU4503
深圳市微能信息科技有限公司是国内专业的UWB定位硬件和算法供应商,提供PDOA(Phase-Difference-of-Arrival)定位基站、标签产品。VDU4503是基于微能信息的UWB-PDOA定位算法设计开发的一款PDOA定位演示开发套件,客户通过该开发套件可以快速将PDOA定位产品嵌入到自己的应用中。
一、PDOA定位演示套件物料清单
VDU4503定位演示套件主要包含PDOA基站和标签,详细见下表格。
| 产品名称 | 料号 | 数量 |
| PDOA定位基站模块 | SKU611 | 1个 |
| PDOA定位标签 | SKU610 | 1个 |
| PDOA定位基站板EVB | SKU611 EVB | 1个 |
| PDOA定位标签基站板EVB | SKU610 EVB | 1个 |
| USB数据线 | Min USB数据线 | 2条 |
二、PDOA定位算法基本原理
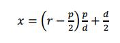
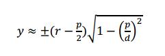
VDU4503定位演示套件基于PDOA测距定位算法,如下图所示。


PDOA基站上放置两个相同且间隔d<λ/2 天线,PDOA标签(tag)上的信号到达两个天线的相位差就在-180°到180°范围内。利用测得的相位差换算成距离差(P),利用飞行时间得到距离r,最后得到PDOA标签(tag)的坐标数据。
![]() | ![]() |
三、应用场景
该套件特别适用于短距离,点对点,实现followme轨迹跟随,角度识别等技术领域的应用开发。
四、PDOA定位演示套件环境搭建
第一步:安装软件驱动,本评测软件需要将UWB基站板SKU611的USB接口接入电脑,安装成功后插入SKU611,电脑会显示出虚拟串口,PDOA定位显示软件通过USB得到SKU611基站的数据;

第二步:将SKU611通过USB上电,PDOA标签SKU610也上电;
第三步:打开PDOA定位显示软件,选择SKU611的串口,点击连接,开始定位;

第四步:开始定位后,软件搜索到标签SKU610,会在地图上显示。

PDOA定位演示套件供应商,深圳市微能信息科技有限公司,网站:www.buykq.cn



