人体对UWB测距误差影响有多大?超多干货值得收藏!
发布日期:2020-03-19 浏览次数:1095次
信道模型和测距误差模型是定位算法和系统性能评估的重要基础,可以分别为UWB测距算法和UWB定位算法研究提供仿真数据。现有针对 TOA 的信道模型和测距误差模型并没有针对人员定位进行测量,模型中不包括人体对信道和测距精度的影响。在TOA 测距中,只有发送方和接收方直视信道的信号传输时间代表了准确的距离值。在室内环境中,如何从多径接收信号中检测到正确的信号到达时间,即 TOA 估计算法,是 TOA 定位的最大挑战。
TOA估计算法的性能评估需要多径信道模型的支持。虽然,IEEE802.15.4A 标准提供了针对室内定位的多径信道模型,但是这些信道模型并没有考虑到携带传感器的人体对信号传输的影响。根据电磁波衍射的原理,当波形前端接触到障碍物时,其传播方向会随之发生改变。若障碍物的表面相对平滑且弯曲,电磁波会沿障碍物表面继续传播,这种传播方式被称为爬行波。现有研究成果表明,人体表面曲率的变化同样会引发爬行波现象。
虽然人体对直视信号具有强烈的遮挡作用,但是人体爬行波的作用使部分被遮挡的信号仍然可能到达接收端。人体爬行波和多径效应的共同作用会使接收信号的路径条数、信号到达时间和信号能量都产生变化,从而影响 TOA 测量精度。当 UWB 信号在人体 周围进行传播时,由于人体的遮挡,UWB 信号的直射路径信号不可测并且 UWB 信道特性会受到复杂的无线电波环境的影响,导致人体遮挡应用场景下的 UWB 信道模型比一般应用场景下的 UWB 信道模型 要复杂得多。因此,选择合理的测量方法、场景变量以及数据分析方法对人体遮挡应用场景下的 TOA 测距误差的建模是必不可少的。
人体遮挡应用场景对 UWB 信道的影响
人体遮挡属于非视距传播的一种特殊应用场景,在人体遮挡应用场景下,当发射天线和接收天线均放置在人体的同一侧,它们之间没有受到人体的遮挡,通过对传播过程中各条路径信号能量损耗的检测可以准确得到直射路径信号。然而,当发射天线和接收天线放置在人体的两侧,它们之间受到了人体的遮挡,无法从多径信号的能量损耗中分辨出直射路径信号的能量损耗,因此无法检测到直射路径信号。
大量研究结果都表明在人体遮挡应用场景下,无线信号的传播会在人体表面形成衍射波并且会由人体周围的物体引起反射波和散射波,而无线电波在信道中主要就是以上述 3 种形式进行传播的 。由电磁波衍射的原理可知,当无线电波的波形前端接触到障碍物时,其传播方向也会随之发生改变。如果障碍物的表面是相对平滑且弯曲的,无线电波会沿着障碍物表面继续传播,这种传播方式被称为爬行波。由于人体的表面具有平滑且弯曲的特点,所以在无线信号在人体表面进行传播时会形成体表爬行波 。
尽管人体对直射路径信号具有强烈的遮挡作用,但是体表爬行波的作用会令部分被遮挡的无线信号通过在人体表面的传播仍然可以到达接收天线,并且体表爬行波会导致接收天线接收到的无线信号的路径条数信号到达时间以及信号能量衰减都发生一定的变化从而影响TOA 测距结果的准确性。因此,在人体遮挡应用场景下,体表爬行波是对无线信号传播以及 TOA测距造成影响的最关键因素,对体表爬行波的分析可以为人体遮挡应用场景下 TOA 测距误差的建模提供大量理论依据。
图 1 形象地表示了无线信号在人体遮挡应用场景下的传播过程。无线信号由发射天线 Tx 发出,然后沿着人体表面由一侧爬行传播到另外一侧,再通过在空气中的传播最终到达接收天线 Rx。如图 1所示,当发射天线从 T1 位置向 T4 位置移动时,随着发射天线和接收天线之间的距离不断减小,无线信号在人体表面的爬行距离随之增大并且在空气中的传播距离也随之减小。根据文献[8]提出的基于距离的 UWB 人体传播模型,无线信号在人体表面传播时,单位距离的信号能量要比在空气中传播的信号能量衰减得快。
由图 1 可知当发射天线和接收天线均在人体附近时,信号能量衰减主要来自于体表爬行波引起的路径损耗,当发射天线逐渐远离人体时,信号能量衰减主要来自于空气传播时引起的路径损耗 [9,10] 。因此在人体遮挡应用场景下,人体与天线之间存在一临界点,该临界点的位置决定了引起信号能量衰减的主要原因。由于体表爬行波带来的路径损耗会比无线信号在空气中传播的路径损耗要大,所以体表爬行波会引入较大的 TOA 测距误差。所以在人体遮挡应用场景下,人体与天线之间存在的临界点位置也决定了 TOA 测距误差的大小和其主要的产生原因。

测量场景
通过分析人体遮挡应用场景下 TOA 测距误差和信号能量衰减产生的原因以及它们受到体表爬行波的影响可知,发射天线和接收天线分别放置在人体两侧时,人体与天线之间存在一个临界点。当天线放置在人体与临界点之间时,信号能量衰减主要来自于体表爬行波引起的路径损耗,TOA 测距误差的大小主要受到体表爬行波的影响;当天线放置在临界点之外时,信号能量衰减主要来自于无线信号在空气中传播产生的路径损耗,TOA 测距误差的大小符合无线信号在自由空间中传播的规律。因此,通过测量人体与天线之间的距离不同时的 TOA测距误差值可以得到临界点的位置并且有助于分析体表爬行波对 TOA 测距的影响,本文将人体表面到发射天线以及接收天线的距离作为场景变量来研究人体遮挡应用场景下的 UWB 信道特性。
测量系统
为了采集人体遮挡应用场景下的TOA测距值,本文采用如图 2 所示的测量系统,主要由一对全向天线,一组 UWB 测距套件以及一台笔记本电脑组成,其中,UWB 测距套件是由参考节点和目标节点组成的,通过 UWB 测距套件对天线之间的距离进行测量。

本文是利用参考节点和目标节点之间的通信进行测距的,参考节点主动发起测距,目标节点连接电源并负责配合参考节点进行 TOA 测距,此时,TOA 测距结果通过串口输出的方式发送给笔记本电脑,记录下串口软件上显示的 TOA 测距值。如图 2 所示,将发射天线连接在参考节点上,接收天线连接在目标节点上,人站在发射天线和接收天线之间,其中,d TH 表示发射天线与人体表面之间的距离,d RH 表示接收天线与人体表面之间的距离,d TR 表示发射天线与接收天线之间的距离。将发射天线和接收天线放置在三脚架上来调整它们的位置并且保持它们的离地高度相同。
测量数据及处理方法
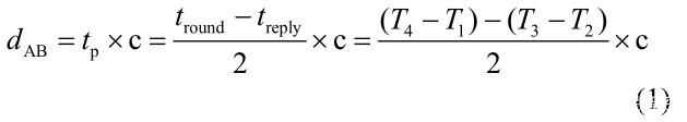
本文通过对人体遮挡应用场景下人体表面到发射天线以及接收天线不同时的 TOA 测距值进行测量并与真实距离相减来获得 TOA 测距误差,因此,对 TOA 测距值的测量方法必须具备合理性和可行性。本文利用节点与节点之间通信的测距方式对天线之间的距离进行测量,UWB 测距芯片采用双向测距的异步 TOA 定位算法进行测距,这种方法不要求发射天线和接收天线之间高精度的时间同步,TOA 测距值的具体测量方法如图 3 所示。

如图 3 所示,可通过式(1)来计算发射天线与接收天线之间的 TOA 测距值。

其中,
d AB 表示节点 A 与节点 B 的 TOA 测距值;
t p 表示无线信号在空气中传播的时间;
c 表示无线信号在空气中传播的速度,即光速;
t round 表示节点 A 进行一次收发脉冲的时间;
t reply 表示节点 B 等待的时间;
T 1 表示节点 A 发送测距脉冲 Ranging Data 的时刻;
T 2 表示节点 B 接收测距脉冲 Ranging Data 的时刻;
T 3 表示节点 B 发送确认脉冲 ACK 的时刻;
T 4 表示节点 A 接收确认脉冲 ACK 的时刻。
在人体遮挡应用场景下,双向测距的异步TOA 定位算法得到测距值与真实距离的差值就是 TOA 测距误差。与传统的单向测距的 TOA 定位算法进行比较,该算法避免了 2 个测距节点之间的时钟同步,降低了测距系统的复杂度,并且提高了测距精度。
TOA 测距节点对发射天线与接收天线之间的距离进行测量后,对测距结果进行处理可得到本测量场景下的 TOA 测距误差。
场景设置
通过分析人体遮挡应用场景对 UWB 信道特性的影响可知,由于体表爬行波的存在,无线信号在人体表面传播时的信号能量衰减以及 TOA 测距误差和在空气中传播时的信号能量衰减以及 TOA测距误差有很大不同,并且人体与天线之间存在一临界点界定了体表爬行波对 UWB 信道特性的影响程度。为了在人体遮挡应用场景下建立合理的 TOA测距误差模型,必须对临界点的位置进行确定,比较天线分别放置在临界点内和临界点外的 TOA 测距误差的不同并分别建立上述 2 种情况下的 TOA测距误差模型。因此,本文将通过发射天线到人体的距离 d TH 和接收天线到人体的距离 d RH 作为场景变量进行设置,并通过统计不同场景变量下的 TOA测距误差,为建立人体遮挡应用场景下的 TOA 测距误差模型奠定了基础。
本文将人体遮挡应用场景下的测量安排在空旷的室外环境下,周围没有大型建筑物和树木的遮挡,避免了 UWB 信号在传播中产生多径效应而对测距结果的影响。利用三脚架调整两天线的离地高度均在 1 m 左右,即令发射天线接收天线天线与人体的胸口正中位置在一条水平线上。需要注意的是由于本测量人体的厚度为 20 cm,并且在本测量中无论发射天线还是接收天线,它们与人体之间的距离都是指与同侧的人体表面之间的距离,例如,当 d TH 和 d RH 均为 0.5 m 时,发射天线与接收天线之间的距离应该在 d TH 和 d RH 相加后再加上人体的厚度,其真实距离为 1.2 m。
综上所述,人体遮挡应用场景下的 TOA 测距误差的测量集 3 Case 可以用式 (2) 表示。

其中, d TH 和 d RH 的具体设置如表 1 所示。发射天线到人体的距离 d TH 的值是从 0 m 开始变化,每次增加0.1 m 直到 1.8 m 。接收天线到人体的距离 d RH 的值分别为 0 m 、 0.2 m 、 0.3 m 、 0.5 m 。一组测量集可以设置为 3 {1m,0 m} Case = ,此时,表示发射天线距离人体 1 m ,接收天线放置在遮挡人体的胸口正中位置。
同时,为了保证测量结果的有效性,本文在每个场景变量设置条件下进行了 500 次测距,在不同的场景变量下,发射天线与接收天线之间的距离也在不断变化。

TOA 测距误差建模
在人体遮挡应用场景中,发射天线和接收天线之间的直射路径信号受到了人体的遮挡,但由于人体表面是平滑且弯曲的,无线信号能够以爬行波的形式到达接收天线,此时无线信号的能量衰减到达时间等参数都会发生很大的变化,并且在天线与人体之间存在一临界点,它决定了 TOA 测距误差在人体遮挡应用场景下如何变化。本文通过建立在人体遮挡应用场景下的 TOA 测距误差模型来研究体表爬行波对 UWB 信道特性的影响。
人体遮挡应用场景下的 TOA 测距模型是根据天线到人体的距离与 TOA 测距误差之间的关系进行建模的。测量系统将天线与人体之间的距离作为场景变量进行了测距并通过计算得到了不同场景变量下的 TOA 测距误差,然后利用 Matlab 软件对TOA 测距误差进行拟合得到其关于天线和人体之间距离的公式,最后通过仿真验证 TOA 测距误差模型的正确性并根据 TOA 测距误差模型结果分析体表爬行波对其的影响。
TOA 测距误差总体特征
通过对不同场景变量下的 TOA 测距误差的统计得到其在发射天线与人体之间的距离以及接收天线与人体之间的距离不同的情况下的分布特征。如图 4 所示,当接收天线与人体之间的距离 d RH 不变时, TOA 测距误差在发射天线与人体之间的距离d TH 为 0.5m 时发生了变化,当 d TH 小于 0.5m 时,TOA 测距误差随着 d TH 的增大而不断减小,此时,可认为 TOA 测距主要受到了体表爬行波的影响,本文将这个区域定义为体表区域;当 d TH 距离大于 0.5 m时, TOA 测距误差只产生了较小的波动,此时可认为 TOA 测距主要受到了 UWB 信号在空气中传播产生的衰减的影响,本文将这个区域定义为体外区域。因此,在人体遮挡应用场景下, 0.5 m 是区分TOA 测距误差影响来源的临界距离。

体表区域的 TOA 测距误差分布
通过上述对人体遮挡应用场景下的 TOA 测距误差总体特征的分析可知,体表区域内 TOA 测距误差的分布和体外区域内 TOA 测距误差的分布有很大的区别,因此为了准确描述人体遮挡应用场景对 TOA 测距误差的影响,应对这 2 个区域内的TOA 测距误差分别建模。已知天线与人体之间的距离为 0.5 m 是区分体表区域与体内区域的临界距离并且单侧人体引起的 TOA 测距误差模型能够更加直观地反映体表爬行波对 TOA 测距的影响,所以,本文将建立单侧人体引起的 TOA 测距误差模型并且该 TOA 测距误差模型以天线与人体之间的距离为 0.5 m 的位置作为临界点分为 2个部分:体表区域 TOA 测距误差模型和体外区域的 TOA 测距误差模型。
在体表区域内,单测人体引起的 TOA 测距误差可以由不同场景变量下的 TOA 测距误差进行组合相减的方法获得,计算式为

通过式 (3) 可以得到体表区域内天线与单侧人体之间的距离不同时的 TOA 测距误差,图 5 为它们的部分分布结果。
由图 5 所示,体表区域的 TOA 测距误差服从高斯分布,因此体表区域的 TOA 测距误差模型如式 (4) 所示。





体外区域的 TOA 测距误差分布体外区域的 TOA 测距误差主要是由于 UWB 信号在空气中传播中产生了能量衰减,不再受到体表爬行波的影响,在本文的测量场景中可认为 UWB信号在空气中的传播近似等同于在自由空间的传播。因此,体外区域的 TOA 测距误差的变化应等同于自由空间中 TOA 测距误差的变化。在体外区域内,单侧人体引起的 TOA 测距误差可通过式 (7) 计算得到。

通过式 (7) 计算所得到的所有体外区域的 TOA测距误差的分布结果如图 8 所示。根据体外区域的 TOA 测距误差的分布情况可知其服从均值为 0 的高斯分布,因此,可得到体外区域的 TOA 测距误差模型,如式 (8) 所示。


TOA 测距误差总体模型综上所述,人体遮挡应用场景下的 TOA 测距误差总体模型如式 (9) 所示。

TOA 测距误差模型的验与分析证
通过上述的统计拟合与计算得到了人体遮挡应用场景下的 TOA 测距误差模型,包括体表区域的 TOA 测距误差模型和体外区域的 TOA 测距误差模型。为了验证 TOA 测距误差模型的准确性,本文通过比较 Matlab 软件仿真产生的模型数据和实际测量数据的大小对人体遮挡应用场景下的 TOA测距误差模型进行了验证。首先,在相同的人体遮挡应用场景下,测量了 500 组接收天线与人体之间的距离 d RH 为 0 m ,发射天线与人体之间的距离 d TH从 0 m 每次增加 0.1 m 直到 1.8 m 时的 TOA 测距误差,然后利用 Matlab 软件仿真得到了 d RH 相同情况下, d TH 在 0 m~1.8 m 之间的 TOA 测距误差模型数据。另外,本文又对 d RH 分别为 0.2 m 、 0.3 m 、 0.5 m的仿真数据和实测数据进行了自验证。图 9 是人体遮挡应用场景下的实测数据和 TOA测距误差模型产生的仿真数据的对比结果。从图 9 中可看出实测数据和模型数据具有非常高的相似度,由此说明本文提出的人体遮挡应用场景下的 TOA 测距误差模型具有一定的可信性,可以为研究人体遮挡应用场景对 UWB 信道的影响提供理论依据。

由图 9 所示,当天线与人体之间的距离小于等于 0.5 m 时,即天线放置在体表区域内, TOA 测距误差随着天线与人体之间的距离的增大而不断减小并且其波动幅度不断减小,说明在体表区域内TOA 测距误差主要受到体表爬行波的影响并且随着体表爬行波传播的距离不断减小, TOA 测距误差的变化幅度越来越小,这是因为体表爬行波对 TOA测距误差的影响远远大于 UWB 信号在空气传播中的能量衰减对 TOA 测距误差的影响。当天线与人体之间的距离大于 0.5 m 时,即天线放置在体外区域内,天线与人体之间的距离的变化并没有改变TOA 测距误差的大小,并且 TOA 测距误差保持着一定的幅度进行小范围波动,说明在体外区域内TOA 测距误差只受到 UWB 信号在空气中传播的能量衰减的影响。
通过上述对人体遮挡应用场景下的 TOA 测距误差模型结果的分析可知, UWB 信号在传播过程中遇到人体的遮挡时,一部分信号会通过体表爬行波的形式沿着人体的表面进行传播从人体的一侧传播到另一侧。
此外,克拉美罗界( CRCB, Cramer-Rao lowerbound )是 TOA 定位系统性能评估的常用参数。CRLB 通常用来评估测距精度和定位精度的理论下限 。 CRLB 定义了无偏估计量的方差的理论下限。CRLB 定义如下。


TOA 定位的 CRLB 与 TOA 测距误值的方差 (iσ )相关,因此,计算 CRLB 的基础是通过现场测量对测距误差或者测距值进行建模。

为了计算人体遮挡对 TOA 测距的 CRLB 的影响,假设 2 个 3 m × 3 m 的应用场景。如图 10 所示,假设 10(a) 、图 10(b) 中的坐标 (0,0) 、 (0,3) 、 (3,3) 、 (3,0)分别放有 4 个基站,图 10(b) 中,坐标 (3,3) 处的基站到圆心的方向有一个人体,人体接近于基站,如右上角圆点所示。
假设目标节点可以移动到场景中的任意位置,且传送信号可以覆盖整个场景,图 10(a)展示了在没有人体遮挡时, 4 个基站与目标节点之间的 CRLB ;图 10(b) 展示了有人体遮挡时的 CRLB 。由图可以看出,当目标节点移动到与人体距离小于0.5 m 时, CRLB 明显增大,而在距离人体大于 0.5 m时, CRLB 与没有人体遮挡时,即图 10(a) 的 CRLB相同。由此,进一步验证了本文的结论:当天线与人体之间的距离大于 0.5 m 时,即天线放置在体外区域时,天线与人体之间的距离的变化并没有改变TOA 测距误差的大小。
作者:何杰,吴雅南,段世红,徐丽媛 ,吕家慧 ,徐诚 ,齐悦 ,北京科技大学计算机与通信工程学院, 材料领域知识工程北京市重点实验室,来源通信学报
UWB测距模块推荐:
UWB测距模块SKU603 | UWB测距模块SKU609 | UWB测距模块SKU610 | UWB测距模块SKU611(支持PDOA) |





